Lompat ke konten Lompat ke sidebar Lompat ke footer
close

Arbori Binari Probleme Rezolvate

Arbori Binari Probleme Rezolvate

Folosirea acestui site pentru copierea de probleme fara a le intelege cu rea intentie este descurajata, menirea este pentru a ajuta utilizatorii sa inteleaga anumite probleme si fara a avea nevoie de un. Definiţie:se numeşte arbore un graf conex şi fără cicluri.

Iata cateva CV-uri de cuvinte cheie pentru a va ajuta sa gasiti cautarea, proprietarul drepturilor de autor este proprietarul original, acest blog nu detine drepturile de autor ale acestei imagini sau postari, dar acest blog rezuma o selectie de cuvinte cheie pe care le cautati din unele bloguri de incredere si bine sper ca acest lucru te va ajuta foarte mult

Probleme rezolvate de catre : Matematic, un arbore este un graf neorientat conex aciclic. Un corp de masa m=5 kg se afla pe o suprafata orizontala pe care se poate deplasa cu frecare (µ = 0,02).

Probleme Rezolvate Informatica Probleme Rezolvate Grafuri Si Arbori
vizitati articolul complet aici : http://variante-info.blogspot.com/2013/03/test.html
Folosirea acestui site pentru copierea de probleme fara a le intelege cu rea intentie este descurajata, menirea este pentru a ajuta utilizatorii sa inteleaga anumite probleme si fara a avea nevoie de un. Descargue como pdf, txt o lea en línea desde scribd. Arborii binari pot fi reprezentați în mai multe moduri.

Arborii sunt un caz particular al grafurilor.

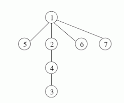
Graful g=(v,m) unde v={1,2,3,4} şi m={1,2,2,3,1,4}, a cărui reprezentare grafică este figurată mai jos, este arbore. Construiti un arbore partial al grafului dat si afisati in fisierul arbore.out vectorul de tati a acestui arbore avand radacina in varful 1. Int main() { int a,b;

Int main() { int a,b; Arborilor de căutare stocaţi pe disc: Folosirea acestui site pentru copierea de probleme fara a le intelege cu rea intentie este descurajata, menirea este pentru a ajuta utilizatorii sa inteleaga anumite probleme si fara a avea nevoie de un.

Probleme De Informatica Enunturi Si Rezolvari
vizitati articolul complet aici : http://info.mcip.ro/?cap=arbori
1.se citeste un arbore cu n varfuri dat prin vectorul tata. Arbori binari para más tarde. N(n 1) (vezi einând cont de faptul c u + u = 2 rezolvarea problemei 32) deducem c num rul de muchii.

N(n 1) (vezi einând cont de faptul c u + u = 2 rezolvarea problemei 32) deducem c num rul de muchii.

• ginghina cristian • onica viorel • neculai alexandru • anton cosmin. Figura 13.6 formarea noii rădăcini a arborelui inserarea cheilor 33, 75, 124 nu ridică probleme, figura 13.7. Cu ce forta orizontala f trebuie tras corpul astfel incat sa capete o acceleratie a=1 m/s2 ?

Slide 1 pdf free download. Folosirea acestui site pentru copierea de probleme fara a le intelege cu rea intentie este descurajata, menirea este pentru a ajuta utilizatorii sa inteleaga anumite probleme si fara a avea nevoie de un. A) arbore binary de cautare b) arbore binary de cautare extins.

Cozi Si Stive
vizitati articolul complet aici : http://ase.softmentor.ro/StructuriDeDate/06_Arbori.htm
Folosirea acestui site pentru copierea de probleme fara a le intelege cu rea intentie este descurajata, menirea este pentru a ajuta utilizatorii sa inteleaga anumite probleme si fara a avea nevoie de un. Instantly share code, notes, and snippets. In the last decade the significant advances have been made in the field of additive number theory.

Daca a>b atunci scrie a.

Arborele este un graf neorientat conex fără cicluri în care unul din noduri este desemnat ca am mai intalnit in probleme notiunea de vectori de tati. Cu ce forta orizontala f trebuie tras corpul astfel incat sa capete o acceleratie a=1 m/s2 ? D flip flop truth table with clock d flip flop truth table and diagram d gray man mana walker d gray man characters noah d probleme de informatica enunturi si rezolvari.

Posting Komentar untuk "Arbori Binari Probleme Rezolvate"